Ausgabe 4 November 2007
Diesen Artikel als PDF
Doppelt hellt besser
Wer bei Nacht schnell mit dem Rad unterwegs sein will und dabei immer wieder von entgegenkommenden Fahrzeugen geblendet wird, wünscht sich möglichst helles Licht aus dem Scheinwerfer. Nabendynamos und moderne Halogenscheinwerfer liefern da schon recht brauchbare Ergebnisse, insbesondere wenn 6-V-3-W-Halogenbirnchen statt der üblichen 6-V-2,4-W-Typen eingesetzt werden. Allerdings sind die von den Scheinwerfern ausgeleuchteten Bereiche meist zu schmal oder zu kurz, so dass man in Kurven ins unbekannt Dunkle steuert oder ein überraschend im Scheinwerferlicht aufgetauchtes Schlagloch direkt vor dem Vorderrad nicht mehr sieht.
Bastler sind deshalb schon vor 6 bis 8 Jahren auf die Idee gekommen, dass man an Nabendynamos auch zwei 6-V-3-W-Scheinwerfer anschließen kann, wenn man sie in Reihe schaltet (wie die klassische Christbaum-Lichterkette). Man benötigt etwas höheres Tempo bis beide Scheinwerfer hell leuchten, dafür hat man erheblich mehr Licht und kann die Lichtkegel so ausrichten, dass ein breites und/oder langes Lichtfeld entsteht.
Noch recht neu auf dem Markt sind LED-Scheinwerfer für den Betrieb am (Naben-)Dynamo. Sie haben den Vorteil, dass das Leuchtmittel hier nahezu ewig lebt – während die Halogen-Birnchen bei Schnellfahrern oft bereits nach 30–60 Stunden versagen. LEDs sind im Gegensatz zu Halogenlampen gerade bei geringen Strömen besonders effizient. Somit hat man viel Licht schon ab Schrittgeschwindigkeit – ein großer Vorteil am steilen Berg oder auf kurvigen schmalen Wegen. Allerdings steigt die Lichtausbeute mit zunehmendem Tempo kaum noch an. Scheinwerfer mit 6-V-3-W-Halogenlampe sind ab 15 km/h im 28″-Rad heller, bei 30 km/h fast doppelt so hell. Weil die Lichtquelle selbst größer und »flächiger« ist als die Glühwendel einer Halogenlampe projizieren die meisten LED-Scheinwerfer ein unschärferes, weicher auslaufendes Lichtfeld. Das Licht »weißer« LEDs hat kein kontinuierliches Farbspektrum wie eine Halogenlampe. Meist wirkt es auch blau- oder grünstichig – bisweilen sogar pink.
Hier sollen die Unterschiede verschiedener interessanter Nabendynamo-Doppelscheinwerfer-Kombinationen näher betrachtet werden. Die Auswahl ist auf typische handelsübliche Modelle beschränkt. Eigenbau-LED-Scheinwerfer mit den besten verfügbaren Komponenten aufgebaut liefern teilweise erheblich mehr Licht, allerdings verläßt man damit recht offensichtlichden strikten Rahmen der deutschen Straßenverkehrszulassungsordnung und blendet in den allermeisten Fällen entgegenkommende in erheblichem Maße.
Bild 1 zeigt wie es funktioniert: Eine herkömmliche Lichtanlage mit 6-V-2,4-W-Scheinwerfer und parallelem Rücklicht wird ergänzt durch einen Zusatzscheinwerfer mit 6-V-3-W-Halogenbirnchen und ggf. einem Kondensator.
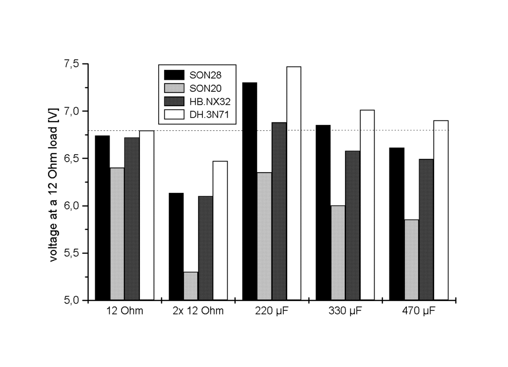
Bild 2 demonstriert die Unterschiede verschiedener Nabendynamos in ihrer Leistungsfähigkeit beim Betrieb von einem oder zwei Scheinwerfern. Alle Messung erfolgten bei 30 km/h bezogen auf ein 28″-Rad mit 700 mm effektivem Außendurchmesser. Folgende Fälle werden betrachtet:
| a | Ein 12-Ω-Widerstand als Last. Die Effektivspannung (True-RMS-Wert) am Widerstand wird gemessen. Dies entspricht grob einer 6-V-3-W-Halogenlampe – also dem üblichen Fall einer »normalen« Lichtanlage am Nabendynamo. |
|---|---|
| b | Zwei 12-Ω-Widerstände in Reihe geschaltet. Gemessen wird die Spannung an einem Widerstand – entsprechend der Spannung an jeweils einer 6-V-3-W-Halogenlampe. Dieser Fall entspricht der Lösung von z. B. zwei Lumotec mit 6-V-3-W-Lampe in Reihe geschaltet am Nabendynamo. |
| c, d, e | Zwei 12-Ω-Widerstände in Reihe geschaltet und zusätzlich ein nicht-polarisierter Elektrolyt-Kondensator in Reihe geschaltet: 220 µF, 330 µF oder 470 µF. Gemessen wird die Spannung an einem Widerstand – entsprechend der Spannung an jeweils einer 6-V-3-W-Halogenlampe. Der Fall mit 330 µF entspricht der Lösung von E6 und E6-Z in Reihe geschaltet am Nabendynamo, denn im E6-Z ist ein solcher in Reihe geschalteter Kondensator eingebaut. |
Ergebnis: Ein einzelner 6-V-3-W-Scheinwerfers an einem 28″-Nabendynamo erreicht bei 30 km/h 6,7–6,8 V. Das Halogenbirnchen wird somit sehr effizient und mit noch vertretbarer Lebensdauer betrieben. 6,8 V als Optimum/Maximum ist deshalb als Linie zur Orientierung im Diagramm eingezeichnet. Schaltet man einen zweiten 6-V-3-W-Scheinwerfer in Reihe hinzu fällt die Spannung an jedem der beiden Scheinwerfer auf nur noch 6,1–6,4 V. Damit erreicht man deutlich mehr Licht als mit nur einem Scheinwerfer bei höherer Spannung, aber man verdoppelt die Lichtausbeute nicht.
Mit einem Kondensator in Reihe zu den beiden Scheinwerfern kann die Spannung deutlich erhöht werden. Ein zu niedriger Kapazitätswert kann sogar problematisch hohe Spannungen an den Scheinwerfern zur Folge haben. 330–470 µF haben sich bei 28″-Nabendynamos bewährt. Allerdings muss sichergestellt werden, dass nie nur eine 6-V-3-W-Halogenlampe zusammen mit einem Serien-Kondensator betrieben wird, weil dabei Spannungen von weit über 8 V auftreten und die Glühlampe sehr schnell zerstören.
Der SON20 im 28″-Rad betrieben läuft zwar schön leichtgängig, ist aber zu schwach, um sinnvoll zwei Scheinwerfer in Reihe zu betreiben. Bei Tempo 30 liegen nur 5,3 V an beiden Scheinwerfern und lassen diese nur gelblich glimmen. Erst mit einem Kondensator mit niedrigem Kapazitätswert um 220 µF kann man bei zügiger Fahrt genug Leistung aus dem SON20 ziehen – erreicht aber nie die Leistungswerte der 28″-Nabendynamos.
Der leistungsfähigste Nabendynamo für den Betrieb von zwei Scheinwerfern ist der Shimano DH-3N71. Mit Serienkondensator betrieben kommt man allerdings leicht in gefährlich hohe Spannungsbereiche. Die Unterschiede der elektrischen Eigenschaften von Nabendynamos für »große« Laufräder sind aber insgesamt nicht weltbewegend. Deshalb wird im folgenden exemplarisch das Verhalten am SON28 betrachtet.
Ein SON28 im 28″-Laufrad wird bei Geschwindigkeiten von 5–50 km/h betrieben. Angeschlossen sind die unter 1.) genannten Widerstände bzw. Kondensatoren in Reihenschaltung. Gemessen wird die Spannung an jeweils einem 12 Ω Widerstand.
Ergebnis: Die Verwendung eines Serien-Kondensators ist interessant um bei Geschwindigkeiten von mehr als 20 km/h die Leistung eines Nabendynamos deutlich (bis zu 2 Watt mehr) zu erhöhen. Allerdings hat die Kondensator-Schaltung den Nachteil bei langsamer Fahrt von weniger als 10 km/h die Leistung deutlich zu reduzieren gegenüber dem Fall ohne Serienkondensator. Je niedriger der Kapazitätswert um so extremer dessen Effekt. 330 µF und 470 µF haben sich als günstige Werte herausgestellt.
Da nicht-polarisierte Elektrolyt-Kondensatoren schwierig beschaffbar sind, kann man sich gut auch damit behelfen, zwei baugleiche polarisierte Elkos entgegengesetzt gepolt in Reihe zu schalten. Die resultierende Kapazität dieser Kombination ist halb so groß wie deren Nennwert. Zwei Kondensatoren mit 1.000 µF/16 V sind ein guter Startpunkt für Experimente und bei jedem Elektronik-Händler für wenige Cent erhältlich und werden den in Bild 2 gezeigten Werten für 470 µF recht nahe kommen.
Verschiedene Leuchten und deren Kombination als »Doppel-Scheinwerfer« werden an einem SON28 im 28″-Laufrad bei Geschwindigkeiten von 10–30 km/h betrieben. An einer Wand in 10m Entfernung wird die maximale Beleuchtungsstärke (in Lux) gemessen.
| a | ein E6 mit 6-V-3-W-Halogenlampe |
|---|---|
| b | ein E6 und ein E6-Z (mit integriertem 330 µF-Serienkondensator) in Reihenschaltung jeweils mit 6-V-3-W-Halogenlampen, die Lichtkegel sind nebeneinander deutlich überlappend angeordnet |
| c | zwei Lumotec in Reihenschaltung jeweils mit 6-V-3-W-Halogenlampen ohne Serienkondensator, die Lichtkegel sind nebeneinander deutlich überlappend angeordnet. |
| d | ein Inoled Inolight 10+ LED-Scheinwerfer |
| e | zwei Inoled Inolight 10+ LED-Scheinwerfer in Parallelschaltung (!), Lichtkegel auf den gleichen Bereich ausgerichtet |
| f | ein DLumotec Oval S+ LED-Scheinwerfer |
| g | ein DLumotec Oval S+ LED-Scheinwerfer und ein E6-Z in Reihenschaltung jeweils mit 6-V-3-W-Halogenlampen, die Lichtkegel sind auf den gleichen Bereich ausgerichtet |
Ergebnis: Die Kombination E6 plus E6-Z in Reihenschaltung ist bei 20–30 km/h mit Abstand am hellsten. Bei >30 km/h holt der doppelte Lumotec (ohne Serienkondensator) auf. Bei unter 20 km/h für den doppelten Lumotec bzw. unter 15 km/h für E6 plus E6-Z ist es sinnvoll auf nur einen Halogenscheinwerfer zurückzuschalten um mehr Licht zu erhalten.
Derzeit handelsübliche Dynamo-LED-Scheinwerfer sind nur bei weniger als 10 km/h heller als ein guter 6-V-3-W-Halogenscheinwerfer. Zu höheren Geschwindigkeiten hin steigt die Lichtausbeute bei LED-Scheinwerfern gar nicht (Inolight 10+) oder wenig (Oval S+).
Die Kombination Oval S+ und E6-Z ist interessant, weil sie bei schneller Fahrt viel Licht (in erster Linie durch den Halogenscheinwerfer) ermöglicht aber bei langsamer Fahrt kein manuelles zurückschalten auf nur einen Scheinwerfer erforderlich macht.
Die Inolight 10+ sind aufgrund Ihres eingebauten Schalt-Reglers nicht für eine Reihenschaltungs-Kombination geeignet. Bei schneller Fahrt nehmen sie immer weniger Strom auf – dafür steigt die Eingangsspannung. Es ist aber möglich zwei Inolight 10+ parallel zu betreiben und damit die Lichtausbeute nahezu zu verdoppeln. In manchen Geschwindigkeitsbereichen kommt es allerdings zu Helligkeitsschwankungen, weil die Schaltregler nicht für diese Nutzung ausgelegt sind. Eindrucksvoll ist die hohe Lichtausbeute bereits bei <10 km/h und das helle Standlicht.
![]() |
![]() |
|---|---|
| Bild 5a: Lumotec | Bild 5b: Zwei Lumotec |
| Lichtfeld mittlerer Breite, leicht ausgefranste Ränder. Auf der Straße recht kurzer ausgeleuchtetes Bereich (hier als »niedrig«) sichtbar. | Lumotec-Lichtkegel kann man wie abgebildet nebeneinander mit leichter seitlicher Überlappung ausrichten. Da man aber mangels Serienkondensator bei <20 km/h auf einen Scheinwerfer zurückschalten sollte, hat man dann nur auf einer Seite Licht. Üblicher ist deshalb die Ausrichtung mit einem Lumotec für den Nahbereich und dem Zweit-Lumotec als weiter strahlendes Fernlicht darüber. |
![]() |
![]() |
| Bild 5c: E6 | Bild 5d: E6 und E6-Z |
| Der E6 erzeugt ein helles aber recht schmales Lichtbündel. Von allen Dynamoscheinwerfern ist der Lichtkegel des E6 am »längsten« und mit dem weichsten, gleichmäßigsten Übergang von wenig Licht am unteren Rand sich steigernd zu maximaler Helligkeit am oberen Rand. | E6 und E6-Z richtet man am sinnvollsten so aus, dass die Lichtfelder nahezu nebeneinander liegen und nur wenig überlappen. So erreicht man eine sehr helle Fahrbahnausleuchtung von für Straßenfahrt ausreichender Breite. Bei unter 15 km/h bleibt der Nachteil auf einen, dann asymmetrisch leuchtenden Scheinwerfer zurückschalten zu müssen. |
![]() |
![]() |
| Bild 5e: Inolight 10+ | Bild 5f: Zwei Inolight 10+ |
| Der Inolight 10+ hat eine sehr angenehme Lichtverteilung mit schmalem, hellen Bereich an der oberen Kante und breiter ausgeleuchtem Nahfeld. Die Breite reicht auch für Fahrten auf kurvigeren Wegen aus. Ähnlich wie der Lumotec ist das Lichtfeld aber auch etwas »kurz«. Für eine LED erreicht der 10+ eine recht brauchbar »weiße« Lichtfarbe. | Da jeder Inolight 10+ für sich bereits breit genug ausleuchtet – aber vergleichsweise wenig hell im Kernbereich ist, richtet man die Kombination von zwei Inolight 10+am besten exakt gleich oder leicht übereinander an, um seine vertikale »Kürze« etwas auszugleichen. |
![]() |
![]() |
| Bild 5g: Oval S+ | Bild 5h: Oval S+ und E6-Z |
| Verglichen mit dem Inolight 10+ zeigt der Oval S+ eine recht ungleichmäßige Lichtverteilung. Das helle Mittelfeld läuft weich zu den Rändern aus. Er zeigt eine relativ blaue Lichtfarbe. | Wenn man den Oval S+ etwas niedriger ausrichtet als den E6-Z dient der Oval S+ zur etwas breiteren Ausleuchtung des Nahbereichs. Störend ist die sehr unterschiedliche Lichtfarbe. Man meint blaue und gelb-orange Bereiche zu sehen. |
Die Scheinwerfer werden an einem SON28 bei 30 km/h betrieben und leuchten auf eine Wand in 5m Entfernung. Bei Doppel-Scheinwerfer-Kombinationen werden die Lichtkegel sinnvoll angeordnet, d. h. meist nebeneinander mit leichtem seitlichen Versatz, um etwas breitere Ausleuchtung zu erhalten.
Alle Aufnahmen sind mit den gleichen, manuellen Kamera-Einstellungen photographiert. Um das Auge auf das wesentliche zu lenken, wurden die Aufnahmen mittels »Floyd-Steinberg-Dithering« in grobes Schwarz-Weiß-Bilder umgewandelt. Diese Fotos geben nur einen qualitativen Eindruck der Lichtverteilung und erlauben einen groben Vergleich von Breite/Länge/Form des Lichtfeldes.
Die Helligkeit kann damit nicht verglichen werden. Gerade das Bild 5f mit zweimal Inolight10+ wirkt sehr hell, obwohl es E6 plus E6-Z bei zügiger Fahrt deutlich unterlegen ist.
Bei den ohnehin schön breit ausleuchtenden Inolight 10+ liegen die Lichtkegel genau an der gleichen Position. Bei der Kombination Oval S+ und E6-Z ist der Oval S+ etwas niedriger ausgerichtet, um in der Praxis besonders den Nahbereich bei langsamer Fahrt gut auszuleuchten, während der E6-Z als Fernlicht weite Sicht bei schneller Fahrt ermöglicht.
Mehr Licht zumindest bei schneller Fahrt wird kaum ein Radfahrer ablehnen, sofern er nicht finanzielle oder ästhetische Bedenken gegenüber Anschaffung oder Montage eines zweiten Scheinwerfer hegt. Mehr Antriebsleistung in den Nabendynamo mag aber kaum jemand stecken – gerade wenn er schnell fahren will. Bei den Messungen für Bild 2 wurde deshalb auch die Antriebsleistung des Nabendynamo (bei 30 km/h) ermittelt. Alle Nabendynamos verhalten sich hier relativ zueinander ähnlich, so dass die Darstellung anhand eines Exemplars ausreicht.
| Elektrische Last | 1 × 12 Ω | 2 × 12 Ω | 2 × 12 Ω + 330 µF |
|---|---|---|---|
| Elektrische Leistung | 3,8 W | 6,3 W | 7,8 W |
| Antriebsleistung | 7,6 W | 10,1 W | 12,0 W |
| Wirkungsgrad | 50 % | 62 % | 65 % |
Wer mehr Licht haben will bekommt also nichts geschenkt, aber für doppelt soviel elektrische Leistung und somit doppelt soviel Licht benötigt man weit weniger als doppelt soviel mechanische Antriebsleistung. Grund dafür ist, dass ein erheblicher Teil der Nabendynamoverluste unabhängig davon ist, wie groß der Lastwiderstand ist. Verluste an Lagern und Dichtungen bleiben gleich aber auch die Verluste durch den 2–3 Ω großen Innenwiderstand der Dynamo-Spule.
Abschließende Worte: Was ist nun die ultimative Nabendynamo-Lichtanlage? Das kann man leider so eindeutig nicht beantworten, da Fahrgeschwindigkeiten, Wegewahl, Verkehrsdichte und das Nachtsehen sich sehr stark unterscheiden. Der an Winterabenden auf geraden Landstraßen trainierende Rennradfahrer wird vermutlich mit E6 und E6-Z maximal helles Licht auf einem immer noch recht schmalen aber langem Band bevorzugen. Der Mountainbiker auf kurvigem Waldweg wird seine Freude am breiten, weichen Licht von zwei Inolight10+ haben, die dies auch schon bei reichlich Schrittgeschwindigkeit liefern und zudem auch bei einem Halt noch brauchbar den Weg beleuchtet. Der Alltagsradler mit gelegentlich schnellen Etappen über Land könnte die Kombination Oval S+ und E6-Z mögen, da sie ihm den Komfort von Dämmerungsautomatik und Standlicht mit dem weitreichenden Fernlicht verbindet. Individuelles Finetuning der Lichtverteilung ist dann noch durch Montagehöhe der Scheinwerfer und Ausrichtung zueinander möglich.
Doppel-Doppel
Bis zum September 2007 war »Doppelt hellt besser« auf der Höhe der Zeit. Auf den Herbstmessen wurden nun aber zwei neue StVZO-fromme LED-Scheinwerfer vorgestellt, die allein schon doppelt so hell leuchten wie bisher übliches: Der Busch&Müller Lumotec IQ Fly und der Inoled Inolight 20+ Modell 2008. Beide Leuchten verwenden die Cree XR-E 7090 LED, die deutlich effizienter arbeitet als die Luxeon-LEDs der älteren Scheinwerfer-Generation. Zudem ist die licht-emittierende Fläche klein und der Abstrahlwinkel eng, was eine saubere Lichtbündelung mit vergleichsweise kleinem Reflektor möglich macht.
Der neue Inolight20+ (Modell 2008) unterscheidet sich kaum vom zuvor getesteten Inoled 10+. Der wesentliche Unterschied ist die Cree-LED anstelle einer Luxeon PW09. Das Lichtfeld ist ähnlich geformt mit leicht schärferen Konturen. Da nur ein einzelnes Vorserien-Exemplar vorlag waren Doppelscheinwerfer-Versuche nicht möglich. Um eine Beschädigung der Elektronik bei schneller Fahrt sicher auszuschließen, wurde der Inolight20+ stets mit einem Rücklicht Dtoplight+ betrieben, was ihn bei langsamer Fahrt etwas schlechter abschneiden läßt als den IQ Fly ohne Rücklicht. Eine Parallelschaltung wird beim Inolight 20+ ebenso wie beim Inolight 10+ möglich sein. Sie hat den Vorteil, dass die Schaltregler wie auch die LEDs bis zu hohen Geschwindigkeiten hin sehr effizient arbeiten und man das etwas kurze Lichtfeld durch vertikalen Winkelversatz ausgleichen kann.
Der Lumotec IQ Fly leuchtet etwas schmaler als der Inoled, dafür ist das Haupt-Lichtfeld länger und auch das Nahfeld wird gut durch diffuses Licht erhellt. Der Schaltregler im IQ arbeitet als Strom-Verdoppler, was die LED bei schneller Fahrt ohne Rücklicht mit bis zu 1200 mA und somit außerhalb der LED-Spezifikation betreibt. Von daher bietet sich auch hier eine Parallelschaltung an, um die nur mäßig gekühlte LED zu schonen und effizienter zu betreiben. Es ist aber auch eine Reihenschaltung möglich. Beide Kombinationen lassen sich durch die Verwendung eines Serienkondensators zu deutlich mehr Leistung bei mittlerer bis schneller Fahrt verhelfen. 330 µF sind in beiden Fällen ein günstiger Wert. Bei Parallelbetrieb ergibt sich so eine leichte Resonanzüberhöhung der Leistungsaunahme bei mittlerem Tempo. Bei Reihenschaltung könnte man mit niedriger Kapazität bei schneller Fahrt noch mehr Leistung entnehmen, allerdings mit dem Risiko die LED mit mehr als 1200 mA zu betreiben. Dies sollte in jedem Fall vermieden werden. Empfehlenswert ist es, die Leuchten mit 4–6° horizontalem Winkelversatz auszurichten. So erreicht man ein Lichtfeld, welches noch einen wenig breiter als das der Inolights ist und hat doch eine deutliche Überlappung der Bereiche maximaler Beleuchtungsstärke. Gemessen wurde hier mit 4° horizontaler Spreizung.
Die Messungen für obiges Diagramm erfolgten mit dem selben Messaufbau wie für Bild 4. Zum leichteren Vergleich wurden die Werte für den Halogenscheinwerfer E6 und dessen Kombination mit dem E6-Z hier ebenfalls aufgenommen.
Der IQ-Parallelbetrieb mit 330 µF stellt das Optimum dar, was mit derzeit käuflichen Dynamo-Scheinwerfern bei langsamer Fahrt bis 20 km/h realisierbar ist. Wer schnell auf eher geraden Landstraßen unterwegs ist, könnte Gefallen an der Kombination IQ (eventuell mit parallelem Rücklicht) und Halogenscheinwerfer E6-Z (mit integriertem Serienkondensator, Halogenbirnchen 6-V-3-W) finden, wobei der IQ mehr für den breit illuminierten Nahbereich und der E6-Z für die Ferne zuständig sind. Wie in Kombination mit dem Oval S+ ist ein manuelles ausschalten des E6-Z bei langsamer Fahrt nicht erforderlich: Der IQ wird nicht merklich dunkler.
Fazit: Die neuen LED-Scheinwerfer stellen einen deutlichen Fortschritt dar und sind für sich allein in allen Fahrgeschwindigkeitsbereichen bereits heller als selbst die besten Halogenscheinwerfer. Allerdings werden die LEDs bei schneller Fahrt sehr heiß und damit ineffizient betrieben. Wer es sich leisten kann oder will, kann mit Doppelscheinwerfer-Lösungen eindrucksvoll helle und effiziente Nabendynamo-Lösungen realisieren.
Zum Autor
Andreas Oehler (40) arbeitet als Maschinenbauingenieur beim Fahrradbeleuchtungshersteller Schmidt Maschinenbau. Ehrenamtlich leitet er den ADFC Fachausschuß Technik.







