Ausgabe 1 April 2006

Diesen Artikel als PDF

Müssen Verkehrsschilder nachts erkannt werden können müssen?

Olaf Schultz

Die Antwort auf diese Frage fällt nicht so einfach wie auf die Frage: »Sollten Verkehrsschilder nachts erkannt werden können müssen?«.

Bild 1: Verschmutztes Schild
Von: Bernd Sluka

Problemstellung

Die grundsätzliche Problematik liegt darin, daß zum Erkennen von Gegenständen diese einen Kontrast zum Umfeld aufweisen müssen. Im einfachsten Fall reicht dafür die Reflektion des von der Fahrzeugbeleuchtung abgesonderten Lichtes. Der am Gegenstand vorbeistreichende Anteil verliert sich im dunklen »Unendlichen«. In lichtverschmutzten Städten oder bei selbstleuchtenden Gegenständen mag es auch ohne fahrzeugeigenes Licht gehen. Das nach oberhalb des Fahrbahnniveaus vom eigenen Fahrzeug entsandte Licht hat aber den unangenehmen Nebeneffekt Entgegenkommende blenden zu können. Damit dies nicht passiert haben die Gesetzgeber unterschiedliche Vorschriften und Grenzwerte erlassen.

Dieser Artikel befaßt sich mit der Situation des Fahrradfahrers.

Tabelle 1: Nomenklatur
Symbol Einheit Bedeutung
α ° Winkel in der horizontalen Ebene
α ° Beobachtungswinkel
β ° Winkel in der vertikalen Ebene
βR ° Anleuchtwinkel
γ ° Winkel in der vertikalenk Ebene zwischen HV und Schild
E max lx max. Beleuchtungsstärke (in 10 m Entfernung)
E S lx Beleuchtungsstärke auf dem Schild
HV lx Beleuchtungsstärke in der Mitte des Meßfeldes (in 10 m Entf.)
L cd m–2 mittlere Leuchtdichte
ΔL cd m–2 Leuchtdichteunterschied
R cd m–2 Leuchtdichte
R' cd lx–1 m–2 Mindestrückstrahlwert
a m Entfernung vom Scheinwerfer (auf der Fahrbahn)
hA m Höhe Auge
hL m Anbauhöhe Scheinwerfer (Lampe)
hS m Anbringungshöhe Verkehrsschild

Vorschriften und andere Randbedingungen

Um die Eingangs gestellte Frage beantworten zu können [1] kann man sich zuerst mit der vorgeschriebenen Ausleuchtung des Scheinwerfers befassen. So unsinnig die Vorschriften in manchen Punkten auch sind! Die hier wesentlichen Punkte sind:

  • StVZO § 67 (3): »… Der Lichtkegel muß mindestens so geneigt sein, daß seine Mitte in 5 m Entfernung vor dem Scheinwerfer nur noch halb so hoch liegt wie bei seinem Austritt aus dem Scheinwerfer …«. Damit soll wohl die Blendung des Gegenverkehrs verhindert werden. Eine gute Ausleuchtung der Fahrbahn weiter als 10 m vor dem Rad wird aber auch verboten!
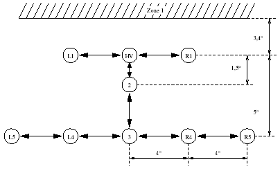
  • Ergänzend zur StVZO werden über § 22a StVZO Technische Anforderungen (TA) gestellt. Die Blendung des Gegenverkehrs soll auch ein Kriterium in den TA 23 verhindern: Die Zone 1. Sie beginnt 3,4° über dem hellsten Punkt (Emax), der auf der Linie L1–R1 liegt. In der Zone 1 sind nach alter Fassung ≤ 0,7 lx zulässig. In der aktuellen Fassung sind es ≤ 2 lx [BMVBW 2003].
  • Die Anbauhöhe des Scheinwerfers hL. Sie liegt meist zwischen 30 und 90 cm. [2] Hier wird von 70 cm ausgegangen.
Bild 2: Meßraster der TA23

Der erste Punkt läßt mit »Mitte« einen großen Interpretationsspielraum übrig. Ich gehe hier von HV aus. Das ist bei symmetrischen Scheinwerfern, wie z. B. dem alten Union U100, der Fall. Andere Antworten könnten aber z. B. lauten:

  • StVZO § 67 (3): »… Der Lichtkegel muß mindestens so geneigt sein, daß seine Mitte in 5 m Entfernung vor dem Scheinwerfer nur noch halb so hoch liegt wie bei seinem Austritt aus dem Scheinwerfer …«. Damit soll wohl die Blendung des Gegenverkehrs verhindert werden. Eine gute Ausleuchtung der Fahrbahn weiter als 10 m vor dem Rad wird aber auch verboten!
  • Der geometrische Mittelpunkt der ausgeleuchteten Fläche. Bei wieviel Lux soll diese begrenzt sein?
  • Der, mit der Beleuchtungsstärke gewichtete, Flächenschwerpunkt.
  • Die Mitte des TA 23-Rasters? Beginnend bei Zone 1 oder bei L1–R1?

Literatur für den zweiten Punkt: Bibliothek mit Bundesgesetzblattsammlung oder Bundesministerium für Verkehr, Bau und Wirtschaft (BMVBW) anschreiben, oder einen ca. 150 € teuren Kommentar zur StVZO besorgen. Übrigens sind im Blendbereich bei Kfz 8,8 lx, bei Fahrrädern nur 2 lx zugelassen. [3]

Der dritte Punkt, die Anbauhöhe, wird nach Durchmusterung einiger Fahrräder mit dem Gliedermaßstab beantwortet. Die StVZO gibt hierfür (zum Glück) keinen Wert vor.

Exemplarische Daten und Berechnungenv

Als Muster wird im Folgenden ein StVZO-konformer Scheinwerfer (BiSy FL) mit HS3 ausgewählt und bei einer Leistungsaufnahme von 2,34 W vermessen (vgl. Bild 3). [4] Die 2,5 prozentige Abweichung von der Nennleistung macht sich in einer Helligkeitsreduzierung von ca. 5 % bemerkbar.

Bild 3: Beleuchtungsstärke auf einer Wand in 10 m Entfernung

Die gerechnete Straßenausleuchtung des ordnungsgemäß ausgerichteten Scheinwerfers zeigt Bild 4.

Bild 4: Straßenausleuchtung BiSy mit HS3 bei 2,34 W

Zur Definition der hier verwendeten Bezeichnungen siehe Bild4. [5]

Bild 5: Winkel und Entfernungen (nicht maßstäblich, Graph der Beleuchtungsstärke in 10 m Entfernung nur zu Verdeutlichung, Definitionen im Text)

Dabei ist hA die Augenhöhe des Radfahrers. An Verkehrsschild werden die Winkel α zwischen Scheinwerfer und Auge und β zwischen der Normalen des Schildes und dem Scheinwerfer aufgespannt. Aus den bisherigen Daten ergibt sich unter anderem, daß Zone 1 bei hL = 0,7 m in etwa
a_{\mbox{\footnotesize Zone1}}=h_{\mbox{\fns L}}\tan(3,4^{\circ}+\arctan\frac{10~\mbox{m}}{h_{\mbox{\fns L}}})=66,4~\mbox{m}
vor dem Fahrrad beginnt und irgendwo oberhalb des Fahrers endet.

Als Beispiel wird hier ein unvorschriftsgemäß zu niedrig angebrachtes Radwegschild verwendet. [6] Es ist mit der Unterkante 2 m oberhalb der Fahrbahn angebracht. Bei einem Durchmesser von 0,4 m ergibt sich eine mittlere Höhe von hS = 2,2 m. Konservativ wird hier mit hS = 2 m gerechnet. Damit kann γ als
\gamma=\arctan\frac{h_{\mbox{\fns L}}}{10~\mbox{m}}+\arctan\frac{h_{\mbox{\fns S}}-h_{\mbox{\fns L}}}{a}
berechnet werden. Den Winkel γ spannt das Radwegschild mit HV auf. Sollen Aussagen bis ca. 2 m vor dem Fahrrad getroffen werden, so sind die Scheinwerfer also bis zu einem Winkel β = -30° zu vermessen.

Fahrradscheinwerfer erzielen i.A. jenseits der 3,4° über HV deutlich weniger als die zugelassenen 2 lx (vgl. Kurvenverlauf in Bild 5).

Rechnet man die bisher zusammengetragenen Daten um, so ergibt sich die Bild 8. Die hellste Beleuchtung erfolgt in diesem Beispiel etwa 3,5 m vor dem Schild.

Für die Ermittlung des Reflexverhaltens des Schildes benötigt man den Anleuchtungswinkel [7] βR und den Beobachtungswinkel α. Diese ergeben sich aus:

\beta_\mbox{\footnotesize R}} =\arctan\frac{h_{\mbox{\fnsS}}-h_{\mbox{\fns L}}}{a}

\alpha =\beta_R-\arctan\frac{h_{\mbox{\fns S}}-h_{\mbox{\fns A}}}{a}

Für zwei ausgewählte Fahrrad-Typen sind in Tabelle 2 exemplarische Werte aufgeführt. Dabei wird für die Position nahe am Schild als aufrechtes Rad ein Trekkingrad mit Hornlenker, also eher kleinem α, ausgewählt. [8] Ein noch kleineres α liegt z. B. bei einem Tiefliegerad bei einer großen Entfernung vor.

Tabelle 2: Winkel und Reflektionen bei unterschiedlichen Fahrradtypen
hA
[m]
a
[m]
βR
[°]
α
[°]
R'
[cd lx–1 m–2]
ES(a)
[lx]
R
[cd m–2]
Aufrecht 1,4 20 4,004 2,286 0,2 0,2 0,04
Tieflieger 1 50 1,718 0,573 12 0,015 0,18

Bei reflektierenden Schildern wird laut DIN 67520-2 für die nächstliegenden Werte (α = 2° und βR = 5°) ein Mindestrückstrahlwert von R' = 0,2 cd lx–1 m–2 gefordert. Wohlgemerkt für eine neue Folie, nicht ein veralgtes, nicht reflektierend bedrucktes Radwegschild! Für den Tieflieger lassen sich bei den wenigen Stützpunkten R' = 12 cd lx–1 m–2 für eine Folie Typ 2 bzw. R' = 2,5 cd lx–1 m–2 für eine Folie Typ 1 nur grob abschätzen. [9]

Aus Bild 6 und 7 ist die Beleuchtungsstärke des Schildes ES(a) ersichtlich.

Bild 6–7: Ausleuchtung des ordnungsgemäß ausgerichteten Scheinwerfers 2 m über der Fahrbahn

Im realen Alltagseinsatz wird man für einen Spurwechsel bei 25 km/h mit 10 m als minimal zurückgelegter Strecke rechnen können. Fährt man auf der Fahrbahn, so sind Radwegschilder 1 bis 5 m neben dem Scheinwerfer. Das ergibt bei 10 bzw. 20 m Entfernung einen seitlichenWinkel von ca. 3 bis über 17°. Jenseits von ±4° sieht es aber schon auf der Linie L1–HV–R1 [10] zugelassen duster aus. Außerdem steigt βR an, und der Rückstrahlwert sinkt bei beiden Folientypen schnell auf R' = 0,2 cd lx–1 m–2.

Ris führt in [Ris 2003] eine preiswerte Methode an, die Leuchtdichten zu bestimmen: Mit Fotoapparaten kann man für den jeweiligen Bildausschnitt bei 200 ASA die mittlere Leuchtdichte L mit
L\mbox{[cd/m$^2$]}=0,2\frac{(\mbox{Blendenwert})2}{\mbox{Belichtungszeit[s]}}
abschätzen. So erreicht man innerstädtisch, egal ob Radwegschild [11] oder Straßenhintergrund [12], mit f = 1,8 und zwei Sekunden Belichtungszeit (Olympus C4040) 0,3 cd m–2. Damit liegt man mitten im Übergangsbereich von Nachtsehen (L' < 10–3 cd m–2) und Tagsehen (L > 10 cd m–2). Dunkler Nachthimmel wird in Literaturquellen 14 ∙ 10–6 cd/m2 angegeben.

Ein Radwegschild erscheint in ca. 20 m Entfernung ca. 1,14° groß. Aus [Hentschel 2002] entstammt Bild 8. Danach werden in diversen Untersuchungen meist 1° große Testfelder verwendet. Für diese Testfeldgrößen kann man zum Glück in anderen Untersuchungen nachschlagen.

Bild 8: Verlauf der Unterschiedsempfindlichkeit [Hentschel 2002]

Für die Unterschiedsempfindlichkeiten wären die Untersuchungen nach [Jainski 1960] anwendbar.

Blackwell verwendet eine Erkennungswahrscheinlichkeit von 50 % [Hentschel 2002]. Natürlich sind die Erkennungswahrscheinlichkeiten mit einer gewissen Streubreite versehen, erkennbar an dem schraffierten Bereich.

Damit ist zumindest ohne Fahrradscheinwerfer laut der hier verwendeten Meßtechnik kein ausreichender Kontrast zwischen Schild und Hintergrund vorhanden. Die Kontrasterhöhung durch den Schweinwerfer mit 0,04 cd m–2 zusätzlich zu den schon vorhandenen 0,3 cd m–2 erzeugt ein L/ΔLS etwa 0,3/0,04 = 7,5 und liegt damit unterhalb des, nach Jainski, notwendigen Wertes von ca. 15. Dabei geht es aber nur um das Erkennen, daß da ein Schild ist, und nicht, was für ein Schild es sein könnte!

Zusammenfassung

Damit kann nun die eingangs gestellte Frage mit »Nein!« beantwortet werden. Ergo: »Wenn Sie (Herr Wachtmeister) wollen, daß ich auch nach der nächsten Einmündung weiter auf dem Radweg fahre, dann fahren Sie bitte weiterhin neben mir her und leuchten mit ihrem asymmetrischen Abblendlicht. Ich darf gemäß StVZO das Radwegschild nachts gar nicht erkennen können.« Nicht berücksichtigt wurden bisher:

  • Blendungseffekte durch entgegenkommende Kfz, Straßenrandbeleuchtung etc.
  • Mit dem Lebensalter zunehmende Nachtblindheit und andere Alterungseffekte des Auges.
  • Laut VwV zu § 39–43 StVO müssen u. a. Radwegschilder nicht rückstrahlend sein.

Dies wären weitere Untersuchungen. Auch die Vorschriften müßten auf Berücksichtigung obiger Punkte untersucht werden. Einfach langsamer fahren geht nicht, da dann bei Dynamobeleuchtung weniger Licht erzeugt wird. Die Brisanz liegt auch darin, daß man nach obigen Betrachtungen nachts als Radfahrer auch Autobahnschilder oder Gefahrenzeichen gar nicht erkennen können dürfte. Nach [Johnson 2005] ist dieses Thema anscheinend selbst für Autofahrer noch nicht endgültig ausdiskutiert.

Zur eingangs häufig erwähnten Blendung ist noch anzumerken, daß dieser Vorgang nicht einfach durch die Vorschrift einer maximalen Beleuchtungsstärke in eine gewissen Entfernung verhindert wird. Der Vorgang der Blendung wird eher durch die Leuchtdichte und der Kontrast zum Umfeld ausgelöst. Von diversen subjektiven Ursachen ganz zu schweigen. Nach obigen Erkenntnissen wäre auch die Erkennbarkeit von Pfosten auf Radwegen, besonders mit verwitterter Verzinkung, betrachtenswert. Zumal einige Urteile (OLG Hamm, NZV 2002, 506 und (9.11.2001 Az. 9U252/98) 129) schon die »Unzureichendheit« von Fahrradscheinwerfern auf der Straße und Waldwegen attestieren. Wie soll das dann erst mit höher gelegenen Gegenständen, Schildern und Absperrbalken sowie -ketten aussehen?

Zum Autor

Olaf Schultz, Maschinenbauingenieur, Hamburg-Harburg, renitenter Großstadtalltags- und Reiseradler, Gründungsmitglied der Fahrrad-AG der TUHH, Selbstbau von mehreren Liegerädern, seit längerem immer weiter in den Untiefen der Fahrradbeleuchtung versinkend.

Anmerkungen

  1. Erstes intensives Schreiben an diesem Artikel 2003, aufgrund diverser Umstände aber späte Veröffentlichung.
  2. Anbau am vorderen Ausfallende. Lenker Trekkingrad.
  3. Dort heißt der Bereich Zone 3. Der Wert gilt für beide Scheinwerfer zusammen. Der Wert ist auf 10 m Meßentfernung umgerechnet.
  4. Maßgebend bei der Vermessung war die Spannung und nicht der Strom. Die Birne liegt innerhalb der zulässigen Toleranzen der Leistungsaufnahme nach DIN49848.
  5. Die Winkelbezeichnungen erscheinen ein bißchen wirr. Das liegt an der Mischung der unterschiedlichen Definition und Verwendungen. Sowohl in der Scheinwerfervermessung wie in der Reflektorvermessung werden die gleichen Benennungen für unterschiedlichen Bedeutungen verwendet.
  6. Siehe Verwaltungsvorschriften (VwV) zu § 39–43 StVO. Harburg, Eißendorfer Pferdeweg, Ecke Heimfelder Straße.
  7. Zwischen Lichtquelle und Normale des Schildes.
  8. Je kleiner α, desto größer die Reflektion, hier also konservative Annahme.
  9. Folien nach DIN 67520-2 verwenden Mikroglaskugeln als Reflexmedium: Typ 1 ohne, Typ 2 mit Luftschicht. Typ 2 erzielt bei kleinem α höhere Rückstrahlwerte als Typ 1. Bisher sind keine Angaben über real verwendete Typen bekannt.
  10. L1 und R1 liegen vier Grad links bzw. rechts neben HV. Auf dieser Linie liegt Emax.
  11. Nicht durch Kfz oder Fahrrad angestrahlt.
  12. Hamburg, 04.06.2004, 22:15 Uhr

Literatur

BMVBW 2003
BMVBW: Technische Anforderungen. Entweder im Kommentar zur StVZO oder z. B. in Auszügen im Beleuchtungstext
Hentschel 2002
Hans-Jürgen Hentschel: Licht und Beleuchtung. Hüthig Verlag, Heidelberg, 5. Auflage, 2002
Jainski 1960
P. Jainski: Die Unterschiedsempfindlichkeit des menschlichen Auges bei verschiedenen Lichtarten. In: Lichttechnik, Bd. 12, 1960. S. 355–359
Johnson 2005
Norbert L. Johnson: Percent Drivers Served for Headlight Illuminated Retroreflective Overhead Signs. ISAL-Symposium, Darmstadt, 2005
Ris 2003
Hans Rudolf Ris: Beleuchtungstechnik für Praktiker. VDE-Verlag, 3. Auflage, 2003